Designcheck
Designcheck – Corporate Identity & Corporate Design für kleine und mittelständische Unternehmen in Mainz & Rheinland-Pfalz.
Designcheck in Mainz & Rheinland-Pfalz

Nutzt du Design schon als Wettbewerbsvorteil?
In hart umkämpften Märkten ist professionelle Gestaltung dein Wettbewerbsvorteil, wenn du auf vorausschauende Planung und professionelle Umsetzung achtest.
Die Investitions- und Strukturbank Rheinland-Pfalz (ISB) bezuschusst kleine und mittelständische Unternehmen bei einem professionellen Designcheck ihrer Corporate Identity.
Wir sind von der designforum rheinland-pfalz akkreditierte Designberater und analysieren mit fundierter Designberatung Ihre Corporate Identity.
Die Förderung durch die ISB gilt nur für Unternehmen in Rheinland-Pfalz.
Schwerpunkte des Designchecks
- Logo
- Geschäftsausstattung (Visitenkarten, Briefpapier, Compliment Cards, u.v.m.)
- Corporate Design
- Corporate Language
- Mediale Verbreitung/Platzierung
Der Designcheck bringt dir einen grundlegenden Einblick in deinen Status Quo und zeigt dir Entwicklungspotenziale auf.
—
Möchtest du wissen, wie unser Designprozess aussieht? Schau in unserem Portfolio unter: Corporate Design Mainz, Grafikdesign Mainz und Webdesign Mainz.
Umfang des Designchecks
- Zwei Beratungstage à 8 Stunden
- ca. 4 Stunden Informationsgespräch
- ca. 10 Stunden Auswertung und Berichterstellung durch die Berater:in
- ca. 2 Stunden Präsentation und Abschlussgespräch
Designcheck am Beispiel
Der Designcheck wird mit einem Festpreis von 1.600 € (zzgl. MwSt.) veranschlagt. Bei einer Förderung reduziert sich Ihr Eigenanteil auf 800 € (zzgl. MwSt.).
Du sparst in diesem Fall 800 €!FAQ zum Thema Designcheck in Rheinland-Pfalz
Das Beratungsprogramm für den Mittelstand von der ISB
Zuschuss zu Beratungskosten für kleine- und mittelständische Unternehmen in Rheinland-Pfalz
Details zur Förderung durch die Investitions- und Strukturbank Rheinland-Pfalz (ISB).
Das Programm bietet einen nicht rückzahlbaren Zuschuss zu förderfähigen Beratungsleistungen. Die Beratungsleistungen werden von akkreditierten, selbständigen Beratern oder Beratungsunternehmen erbracht.
Die wichtigsten Informationen zusammengefasst
- Zuschuss zu den Beratungskosten in Höhe von max. 500 € pro Tagewerk für KMU mit Betriebsstätte in Rheinland-Pfalz.
- Diese Unternehmen können sich über Fragen der strategischen, wirtschaftlichen, organisatorischen und technischen Unternehmensführung sowie Produkt- und Kommunikationsdesign beraten lassen.
- Der Antrag muss vor Beginn der Beratung bei der Investitions- und Strukturbank Rheinland-Pfalz (ISB) gestellt werden
- Die Antragsteller müssen mindestens zwei Jahre am Markt sein
Downloads zur Beantragung
Hier findest du die Unterlagen der ISB. Frag uns gerne zu Details.
Erklärung zum Antrag
Dauer des Ausfüllens
Wir (Christian und Carlo) haben den Antrag schon mehrfach mit Kund:innen ausgefüllt. Realistisch brauchst du dafür 30–40 Minuten, wenn du deine Basisdaten (Adresse, Bank, Umsatz, Mitarbeiter:innenzahl) griffbereit hast.
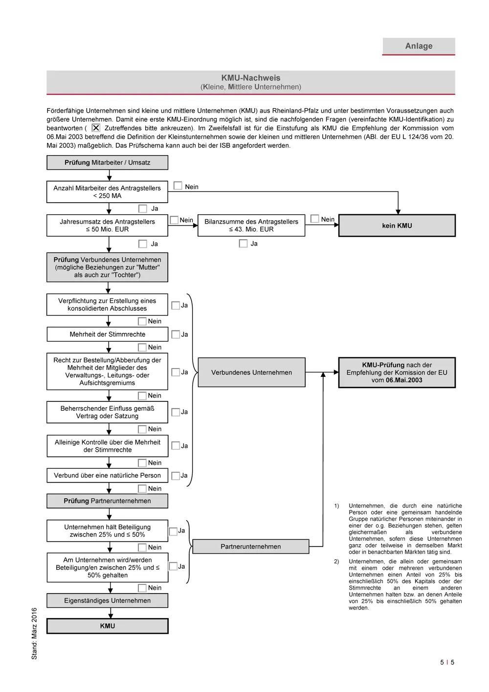
Hier die fünf Seiten des Antrages:
Unsere Kund:innen
Kontakt
Sprich direkt mit Christian – dein Ansprechpartner für den Designcheck
Du willst prüfen, ob und wie dein Designprojekt von der ISB gefördert werden kann? In einem 15-minütigen Vorgespräch klären wir, ob dein Vorhaben förderfähig ist, welche Unterlagen du brauchst und welche nächsten Schritte sinnvoll sind. Buche dir einfach einen passenden Termin bei Christian Silber – unkompliziert, kostenfrei und unverbindlich.
Alternativ erreichst du Christian telefonisch unter 06131-8939221 oder per Mail an christian@honey-studio.de.








